При выполнении заданий с кратким ответом впишите в поле для ответа цифру, которая соответствует номеру правильного ответа, или число, слово, последовательность букв (слов) или цифр. Ответ следует записывать без пробелов и каких-либо дополнительных символов. Дробную часть отделяйте от целой десятичной запятой. Единицы измерений писать не нужно.
Если вариант задан учителем, вы можете вписать или загрузить в систему ответы к заданиям с развернутым ответом. Учитель увидит результаты выполнения заданий с кратким ответом и сможет оценить загруженные ответы к заданиям с развернутым ответом. Выставленные учителем баллы отобразятся в вашей статистике.
Версия для печати и копирования в MS Word
Для получения годовой оценки по истории ученику требовалось написать доклад на 16 страниц. Выполняя это задание на компьютере, он набирал текст в кодировке Windows. Какой объем памяти (в Кбайтах) займет доклад, если в каждой строке по 64 символа, а на каждой странице помещается 64 строки? Каждый символ в кодировке Windows занимает 8 бит памяти.
1) 4
2) 64
3) 128
4) 256
Ответ:
Для какого из данных слов истинно высказывание:
НЕ (есть шипящие) И НЕ (оканчивается на гласную)?
Шипящие звуки — это [ж], [ш], [ч'], [щ'].
1) любовь
2) отвращение
3) забота
4) отчужденность
Ответ:
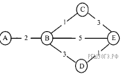
У Кати Евтушенко родственники живут в 5 разных городах России. Расстояния между городами внесены в таблицу:
Катя перерисовала ее в блокнот в виде графа. Считая, что девочка не ошиблась при копировании, укажите, какой граф у Кати в тетради.
1)
2)
3)
4)
Ответ:
В некотором каталоге хранится файл Оценки.doc. После того, как в этом каталоге создали подкаталог и переместили туда файл Оценки.doc, его полное имя стало
С:\Школа\Классы\9Б\Оценки.doc.
Каково полное имя созданного подкаталога?
1) Классы
2) С:\Школа\Классы\9Б
3) С :\Школа\Классы
4) 9Б
Ответ:
Дан фрагмент электронной таблицы:
| A | B | C | D | |
|---|---|---|---|---|
| 1 | 6 | 1 | 8 | 3 |
| 2 | =В1+С1 | =D1*3 | =А1/3 |
Какая из формул, приведенных ниже, может быть записана в ячейке A2, чтобы построенная после выполнения вычислений диаграмма по значениям диапазона ячеек A2:D2 соответствовала рисунку?
1) =(С 1 - А 1 )/2
2) = А1 - D1
3) =(С1 + В1)/3
4) =А1 + С1 + 2*В1
Ответ:
Исполнитель Черепашка перемещается на экране компьютера, оставляя след в виде линии. В каждый конкретный момент известно положение исполнителя и направление его движения. У исполнителя существует две команды: Вперед n (где n — целое число), вызывающая передвижение Черепашки на n шагов в направлении движения; Направо m (где m — целое число), вызывающая изменение направления движения на m градусов по часовой стрелке. Запись Повтори k [Команда1 Команда2 КомандаЗ] означает, что последовательность команд в скобках повторится k раз.
Черепашке был дан для исполнения следующий алгоритм: Повтори 360 [Вперед 30 Направо 60]. Какая фигура появится на экране?
1) правильный 360-угольник
2) правильный треугольник
3) правильный шестиугольник
4) незамкнутая ломаная линия
Ответ:
Агент 007, передавая важные сведения своему напарнику, закодировал сообщение придуманным шифром. В сообщении присутствуют только буквы из приведенного фрагмента кодовой таблицы:
| М | И | Ш | К | А |
|---|---|---|---|---|
| ?© | ??? | ©© | ©? | ©©? |
Определите, какое сообщение закодировано в строчке:
?©©©?©©.
В ответе запишите последовательность букв без запятых и других знаков препинания.
Ответ:
В программе «:=» обозначает оператор присваивания, знаки «+», «-», «*» и «/» — соответственно операции сложения, вычитания, умножения и деления. Правила выполнения операций и порядок действий соответствуют правилам арифметики. Определите значение переменной b после выполнения алгоритма:
а := 7
b := 2
а := b*4 + a*3
b := 30 - a
В ответе укажите одно целое число — значение переменной b.
Ответ:
Запишите значение переменной k, полученное в результате работы следующей программы. Текст программы приведен на пяти языках программирования.
| Бейсик | Python |
|---|---|
DIM k, i AS INTEGER k = 2 FOR i = 0 TO 2 k = i + 3 * k NEXT i PRINT k | k = 2 for i in range(3): k = i + 3 * k print (k)
|
| Паскаль | Алгоритмический язык |
var k, i: integer; begin k := 2; for i := 0 to 2 do k := i + 3 * k; writeln(k); end.
| алг нач цел k, i k := 2 нц для i от 0 до 2 k := i + 3 * k кц вывод k кон |
| С++ | |
#include <iostream> using namespace std; int main() { int k = 2; for (int i = 0; i <= 2; i++) k = i + 3 * k; cout << k; return 0; } | |
Ответ:
В таблице Tur хранятся данные о количестве ребят, ходивших в поход вместе с туристическим клубом «Полянка». (Tur[1] — число ребят в 2001 году, Tur[2] — в 2002 году и т. д.). Определите, какое число будет напечатано в результате работы следующей программы. Текст программы приведен на пяти языках программирования:
| Бейсик | Python |
|---|---|
DIM Tur(11) AS INTEGER DIM k,m AS INTEGER Tur(1) = 1: Tur(2) = 11 Tur(3) = 8: Tur(4) = 12 Tur(5) = 5: Tur(6) = 6 Tur(7) = 15: Tur(8) = 16 Tur(9) = 16: Tur(10) = 21 Tur(11) = 7 m = 0 FOR k = 1 TO 11 IF Tur(k) > 12 THEN m = m + Tur(k) ENDIF NEXT k PRINT m | Tur = [1, 11, 8, 12, 5, 6, 15, 16, 16, 21, 7] m = 0 for k in range(11): if Tur[k] > 12: m = m + Tur[k] print (m)
|
| Паскаль | Алгоритмический язык |
Var k, m: integer; Tur: array[1..11] of integer; Begin Tur[1]:=1; Tur[2]:=11; Tur[3]:=8; Tur[4]:=12; Tur[5]:=5; Tur[6]:=6; Tur[7]:=15; Tur[8]:=16; Tur[9]:=16; Tur[10]:=21; Tur[11]:=7; m := 0; for k := 1 to 11 do if Tur[k] > 12 then begin m := m + Tur[k]; end; writeln(m); End.
| алг нач целтаб Tur[1:11] цел k, m Tur[1] := 1 Tur[2] := 11 Tur[3] := 8 Tur[4] := 12 Tur[5] := 5 Tur[6] := 6 Tur[7] := 15 Tur[8] := 16 Tur[9] := 16 Tur[10] := 21 Tur[11] := 7 m := 0 нц для k от 1 до 11 если Tur[k] > 12 то m := m + Tur[k] все кц вывод m кон |
| С++ | |
#include <iostream> using namespace std; int main() { int Tur[11] = {1, 11, 8, 12, 5, 6, 15, 16, 16, 21, 7}; int m = 0; for (int k = 0; k < 11; k++) if (Tur[k] > 12) m = m + Tur[k]; cout << m; return 0; } | |
Ответ:
На рисунке изображена схема соединений, связывающих пункты А, В, С, D, Е, F. По каждому соединению можно двигаться только в одном направлении, указанном стрелкой. Сколько существует различных путей из пункта А в пункт F?
Ответ:
Ниже в табличной форме представлен фрагмент базы данных «Спортивный фестиваль»:
| Дата матча | Очки команды «Звездочка» | Очки команды «Помидор» | Победитель |
|---|---|---|---|
| 18.11.12 | 2 | 1 | «Звездочка» |
| 19.11.12 | 3 | 4 | «Помидор» |
| 20.11.12 | 3 | 1 | «Звездочка» |
| 21.11.12 | 2 | 1 | «Звездочка» |
| 22.11.12 | 1 | 2 | «Помидор» |
| 23.11.12 | 2 | 1 | «Звездочка» |
| 24.11.12 | 0 | 2 | «Помидор» |
| 25.11.12 | 2 | 3 | «Помидор» |
| 26.11.12 | 1 | 0 | «Звездочка» |
Сколько дней (матчей) в данном фрагменте удовлетворяют условию
(Очки команды «Помидор» < 2) И (Победитель = «Звездочка»)?
В ответе укажите одно число — искомое количество дней (матчей).
Ответ:
Переведите число 147 из десятичной системы счисления в двоичную систему счисления. Сколько единиц содержит полученное число? В ответе укажите одно число — количество единиц.
Ответ:
У исполнителя Умножатор две команды, которым присвоены номера:
1. умножь на 3
2. прибавь 2
Первая из них увеличивает число на экране в 3 раза, вторая — прибавляет к числу 2. Составьте алгоритм получения из числа 2 числа 66, содержащий не более 5 команд. В ответе запишите только номера команд. (Например, 12212 — это алгоритм: умножь на 3, прибавь 2, прибавь 2, умножь на 3, прибавь 2, который преобразует число 2 в 32.) Если таких алгоритмов более одного, то запишите любой из них.
Ответ:
Файл размером 6 Мбайт передается через некоторое соединение за 3 минуты. Определите время (в секундах), за которое можно передать через это же соединение 4 Мбайта. В ответе укажите одно число — количество секунд. Единицы измерения писать не нужно.
Ответ:
Некоторый алгоритм из одной цепочки символов получает новую цепочку следующим образом. Сначала вычисляется длина исходной цепочки символов; если она нечетна, то дублируется средний символ цепочки символов, а если четна, то в начало цепочки добавляется буква С. В полученной цепочке символов каждая буква заменяется буквой, следующей за ней в русском алфавите (А — на Б, Б — на В и т. д., а Я — на А). Получившаяся таким образом цепочка является результатом работы алгоритма.
Например, если исходной была цепочка КОТ, то результатом работы алгоритма будет цепочка ЛППУ, а если исходной была цепочка ВАНЯ, то результатом работы алгоритма будет цепочка ТГБОА.
Дана цепочка символов ЛАК. Какая цепочка символов получится, если к данной цепочке применить описанный алгоритм дважды (т. е. применить алгоритм к данной цепочке, а затем к результату вновь применить алгоритм)? Русский алфавит: АБВГДЕеЖЗИЙКЛМНОПРСТУФХЦЧШЩЪЫЬЭЮЯ.
Ответ:
Доступ к файлу look.jpg, находящемуся на сервере birthday.ru, осуществляется по протоколу http. Фрагменты адреса файла закодированы буквами от А до Ж. Запишите последовательность этих букв, кодирующую адрес указанного файла в сети Интернет.
A) look
Б) ://
B) ru
Г) http
Д) .jpg
Е) /
Ж) birthday.
Ответ:
В таблице приведены запросы к поисковому серверу. Для каждого запроса указан его код — соответствующая буква от А до Г. Расположите коды запросов слева направо в порядке возрастания количества страниц, которые нашел поисковый сервер по каждому запросу. По всем запросам было найдено разное количество страниц. Для обозначения логической операции «ИЛИ» в запросе используется символ «|», а для логической операции «И» — «&»:
| Код | Запрос |
|---|---|
| А | Турция & Доминикана & Анапа |
| Б | (Турция | Анапа) & Доминикана |
| В | Турция | Доминикана | Анапа |
| Г | Турция | Анапа |
Ответ:
В московской Библиотеке имени Некрасова в электронной таблице хранится список поэтов Серебряного века. Ниже приведены первые пять строк таблицы:
| A | B | C | D | E | |
|---|---|---|---|---|---|
| 1 | Фамилия | Имя | Отчество | Год рождения | Год смерти |
| 2 | Агапов | Борис | Николаевич | 1899 | 1973 |
| 3 | Агнивцев | Николай | Яковлевич | 1888 | 1932 |
| 4 | Адамович | Георгий | Викторович | 1892 | 1972 |
| 5 | Аксенов | Иван | Александрович | 1884 | 1935 |
| 6 | Амари | Михаил | Осипович | 1882 | 1945 |
Каждая строка таблицы содержит запись об одном поэте. В столбце А записана фамилия, в столбце В — имя, в столбце С — отчество, в столбце D — год рождения, в столбце Е — год смерти. Всего в электронную таблицу были занесены данные по 150 поэтам Серебряного века в алфавитном порядке.
Выполните задание.
Откройте файл с данной электронной таблицей (расположение файла Вам сообщат организаторы экзамена). На основании данных, содержащихся в этой таблице, ответьте на два вопроса.
1. Определите количество поэтов, родившихся в 1888 году. Ответ на этот вопрос запишите в ячейку Н2 таблицы.
2. Определите в процентах, сколько поэтов, умерших позже 1930 года, носили имя Иван. Ответ на этот вопрос с точностью не менее 2 знаков после запятой запишите в ячейку НЗ таблицы.
На следующей странице вам будет предложено проверить их самостоятельно.
Выберите ОДНО из предложенных ниже заданий: 15.1 или 15.2.
15.1 Исполнитель Робот умеет перемещаться по лабиринту, начерченному на плоскости, разбитой на клетки. Между соседними (по сторонам) клетками может стоять стена, через которую Робот пройти не может. У Робота есть девять команд. Четыре команды — это команды-приказы:
вверх вниз влево вправо
При выполнении любой из этих команд Робот перемещается на одну клетку соответственно: вверх ↑ вниз ↓, влево ← , вправо →. Если Робот получит команду передвижения сквозь стену, то он разрушится. Также у Робота есть команда закрасить, при которой закрашивается клетка, в которой Робот находится в настоящий момент.
Еще четыре команды — это команды проверки условий. Эти команды проверяют, свободен ли путь для Робота в каждом из четырех возможных направлений:
сверху свободно снизу свободно слева свободно справа свободно
Эти команды можно использовать вместе с условием «если», имеющим следующий вид:
если условие то
последовательность команд
все
Здесь условие — одна из команд проверки условия. Последовательность команд — это одна или несколько любых команд-приказов. Например, для передвижения на одну клетку вправо, если справа нет стенки, и закрашивания клетки можно использовать такой алгоритм:
если справа свободно то
вправо
закрасить
все
В одном условии можно использовать несколько команд проверки условий, применяя логические связки и, или, не, например:
если (справа свободно) и (не снизу свободно) то
вправо
все
Для повторения последовательности команд можно использовать цикл «пока», имеющий следующий вид:
нц пока условие
последовательность команд
кц
Например, для движения вправо, пока это возможно, можно использовать следующий алгоритм:
нц пока справа свободно
вправо
кц
Выполните задание.
На бесконечном поле имеются 4 стены, расположенные в форме прямоугольника. Длины вертикальных и горизонтальных стен неизвестны. Робот находится в клетке, расположенной в левом верхнем углу прямоугольника. На рисунке указан один из возможных способов расположения стен и Робота (Робот обозначен буквой «Р»).
Напишите для Робота алгоритм, закрашивающий все клетки, расположенные с внутренней стороны верхней и нижней стен. Робот должен закрасить только клетки, удовлетворяющие данному условию. Например, для приведенного выше рисунка Робот должен закрасить следующие клетки (см. рис.).
При исполнении алгоритма Робот не должен разрушиться, выполнение алгоритма должно завершиться. Конечное расположение Робота может быть произвольным. Алгоритм должен решать задачу для любого допустимого расположения стен и любого расположения и размера проходов внутри стен. Алгоритм может быть выполнен в среде формального исполнителя или записан в текстовом редакторе. Сохраните алгоритм в текстовом файле.
15.2 Напишите программу, которая в последовательности натуральных чисел определяет сумму всех чисел, кратных 6 и оканчивающихся на 4. Программа получает на вход натуральные числа, количество введенных чисел неизвестно, последовательность чисел заканчивается числом 0 (0 — признак окончания ввода, не входит в последовательность). Количество чисел не превышает 1000. Введенные числа не превышают 30 000. Программа должна вывести одно число: сумму всех чисел, кратных 6 и оканчивающихся на 4.
Пример работы программы:
| Входные данные | Выходные данные |
| 24 6 34 22 84 0 | 108 |
На следующей странице вам будет предложено проверить их самостоятельно.

